생각에서 현실까지

  • 홈
  • 태그
  • 미디어로그
  • 위치로그
  • 방명록

2011/12/10 1

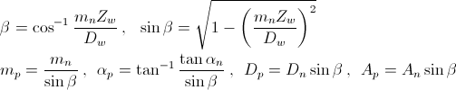
웜 기어를 오토캐드에서 3D로 그리기

위의 웜 기어를 오토캐드 2012에서 그려 보겠습니다. 오토캐드 2008이상 버전이면 그대로 따라하면 될것으로 추정합니다.(모듈:2mm, 압력각:20도, 웜 기어의 피치원 지름:20mm, 웜 기어 높이 38mm) mp: 축 평행 모듈, mn: 모듈, αs: 축 평행 압력각, αn: 압력각, β: 비틀림 각도, Dw: 웜기어 피치원 지름, Zw: 웜 기어 줄 수, Dp: 축 평행 디덴덤 비률, Dn: 디덴덤 비률, Ap: 축 평행 어덴덤 비률, An: 어덴덤 비률 위의 수식으로 축 평행인 값을 구해서 랙 치형을 그립니다.(그림에서 설명하고 있는 그림은 빨간색으로 그려진 그림입니다.) β=84.2608295227332도, Hw=38mm, mp=2.0100756305184mm, αp=20.09271417372..

기어(gear) 2011.12.10
1
더보기
프로필사진

오만팔천 이야기

  • 분류 전체보기 (63)
    • 기어(gear) (38)
    • 체질 (6)
    • 컴퓨터 (4)
    • CNC (8)
    • 수학 (7)
    • 안경 (0)
    • 음양수학 (0)

Tag

기어작도, 인벌류트, 웜기어, 기어그리기, 하느님, 지오지브라, 곡률, Gear, 기어, GeoGebra, 귀류법, 사이클로이드, 헬리컬기어, 인벌류트 함수, 전위기어, involute, 곡류반지름, cycloid, 오버핀, 백래시,

최근글과 인기글

  • 최근글
  • 인기글

최근댓글

공지사항

페이스북 트위터 플러그인

  • Facebook
  • Twitter

Archives

Calendar

«   2011/12   »
일 월 화 수 목 금 토
1 2 3
4 5 6 7 8 9 10
11 12 13 14 15 16 17
18 19 20 21 22 23 24
25 26 27 28 29 30 31

방문자수Total

  • Today :
  • Yesterday :

Copyright © Kakao Corp. All rights reserved.

  • 저작권
  • codecogs 수식 편집기
  • 한국어 맞춤법/문법 검사기

티스토리툴바